Verdampfen, Kristallisieren, thermisches Eindicken und Trocknen von Flüssigkeiten in einem Apparat
Isolierung von Wertstoffen aus einer Flüssigkeit
In vielen Fällen ist der verbleibende Feststoff der Wertstoff, den man durch Eindampfen und Vakuumtrocknen isolieren möchte. Manchmal ist es genau umgekehrt: Das verdampfende Medium ist dann der Wertstoff, der durch Abkühlung zu einer Flüssigkeit kondensiert wird.
Die thermische Trocknung im Vakuum-Mischtrockner ist in der Regel nur dann wirtschaftlich sinnvoll, wenn das Trockengut zuvor mechanisch entfeuchtet wurde. Zur mechanischen Entfeuchtung werden z. B. Filtrationsnutschen, Kammerfilterpressen, Vakuum-Membranfilter oder Zentrifugen eingesetzt. Einige Flüssigkeiten sind sowohl Lösung als auch Suspension. Sie können nicht mechanisch entfeuchtet werden und müssen durch Eindampfen eingedickt werden.
Manchmal macht der Rührer im Verdampfer Probleme
Die diskontinuierlichen Verdampfer sind beheizbare, vakuumdichte Behälter. Wahlweise werden sie mit beheizbaren Einbauten ergänzt. Zur effektiveren Wärmezufuhr ist ein Flüssigkeitsrührwerk eingebaut. Solche Flüssigkeitsrührwerke verbessern den Stoff- und Wärmeaustausch. Ihre Mischeffizienz nimmt jedoch mit steigender Viskosität der Flüssigkeit ab. In einigen Fällen kann die Flüssigkeit sogar zähplastisch und klebrig werden, oder das Produkt kann ein Fließverhalten annehmen, das dem von Kaugummi oder feuchtem Sand ähnelt. Dies kann ein Flüssigkeitsrührwerk blockieren und beschädigen. Für das Rühren/ Mischen solcher schlecht fließenden Dispersionen hat amixon® spezielle SinConvex®- und SinConcave®-Helix-Mischwerkzeuge entwickelt.
amixon®-Mischwerkzeuge sind für Feststoffe und Flüssigkeiten gleichermaßen geeignet. amixon®-Vakuum-Mischtrockner können auch zähplastische Suspensionen/Flüssigkeiten mischen, verdampfen, eindicken und trocknen.
Kostenvorteil: Drei Prozesse in einem amixon® Apparat
Die Verarbeitung giftiger oder teurer Stoffe erfordert Containment-Lösungen, um sicherzustellen, dass die Stoffe nicht aus der Anlage entweichen können. Je kleiner und kompakter eine solche Anlage gebaut ist, desto besser. Vorteilhaft ist es auch, wenn möglichst viele Verfahrensschritte in einer Anlage durchgeführt werden können. Eine solche Mehrzweckanlage ist z.B. auch dann vorteilhaft, wenn die Stoffe im nassen Zustand stark korrosiv oder abrasiv sind. In beiden Fällen möchte man möglichst viele Verfahrensschritte in einer geschlossenen, kompakten Anlage durchführen.
Es ist dann sinnvoll, einen Vakuum-Mischtrockner sowohl für die Eindampfung als auch für die Trocknung einzusetzen. Um einen Eindampfprozess wirtschaftlich betreiben zu können, benötigt man die Werte des Dampfdruckes. Diese sind abhängig von der Temperatur und dem Konzentrationsverlauf.
Bestimmung des Dampfdrucks
Nachstehend werden die Dampfdrücke einer komplexen Flüssigkeit bestimmt, die Salze und feindisperse Feststoffe enthält. Ziel des Verfahrens ist die Isolierung der Feststoffe und die Isolierung der flüssigen Bestandteile, die in einer komplexen Suspension/Lösung enthalten sind. Die Bestandteile sind: Wasser, Eisenacetat, Calciumchlorid, Calciumpermanganat, Chrom, Natriumcarbonat, Natriumchlorid, Natriumfluorid, Natriumhydrogenphosphat, Natriumhydroxid, Natriumnitrat, Natriumsulfat, Siliciumdioxid, Metallseifen, ...
Das Isoteniskopverfahren
Möglicherweise gibt es heute schon automatisierte Systeme zur Bestimmung des Dampfdruckes. Dennoch ist es interessant, einen Versuchsaufbau zu betrachten. Hier wird der Dampfdruck mit Hilfe eines Isoteniskopgefäßes bestimmt. Dieser Versuchsaufbau erlaubt eine genaue Bestimmung der Dampfdrücke auch bei Absolutdrücken von nur wenigen mbar.
Die zu untersuchende Flüssigkeit/ Suspension befindet sich im Siphon und im Probengefäß. Die Flüssigkeit dient als Sperrmedium. Sowohl der Siphon als auch das Gefäß befinden sich im Temperiergefäß, das gut einsehbar ist. Mit den Ventilen (a) und (b) wird das Vakuum so eingestellt, dass die beiden Minisken im Siphon auf gleicher Höhe sind. Der so eingestellte Systemdruck ist der jeweilige Dampfdruck der Flüssigkeit. Die Werte ändern sich, wenn sich die Temperatur der Suspension ändert. Die Werte ändern sich auch, wenn sich die Konzentration der Suspension ändert.
Vergleich zwischen destilliertem Wasser und der Suspension
Die jeweiligen Messwerte werden durch Abgleich der Manometer 1 und 2 ermittelt. Zur Stabilisierung des angelegten Vakuums wird vor der Vakuumpumpe eine Woulff‘sche Flasche installiert. Die Kühlschlange über dem Isoteniskopgefäß dient zur Rückkondensation des Sperrmediums.
Berechnung der Dampfdruckkurve
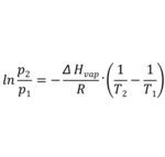
Die vereinfachte Formel von Clausius Clapeyron beschreibt die Abhängigkeit des Dampfdrucks einer Flüssigkeit von der Temperatur als modifizierte Gradengleichung. Für die graphische Auswertung der Versuche wurde ein geeignetes Diagramm verwendet, das die Clausius-Clapeyron-Formel anschaulich darstellt. Auf der Abszisse ist die Temperatur in Kelvin als Kehrwert (multipliziert mit 1000) aufgetragen. Trägt man auf der Ordinate den Druck in logarithmischer Form auf, so erscheinen die Dampfdrücke der Flüssigkeiten als parallele Grade. Die Steigung der Grade ist ein Maß für die Enthalpie der Flüssigkeit.
p₁, p₂: Dampfdruck bei den Temperaturen T₁ bzw. T₂
T1, T2: absolute Temperaturen (in Kelvin)
ΔHvap: molare Verdampfungsenthalpie (in J/mol)
R: universelle Gaskonstante (8,314 J/mol·K).
Anhand des Diagramms können drei interessante Feststellungen getroffen werden:
- Wie viele verschiedene Flüssigkeiten sind in der Suspension enthalten? Im vorliegenden Beispiel zeigt der relativ gerade Verlauf der Messpunkte, dass die flüssige Phase dieser Suspension nur aus einer einzigen Flüssigkeit besteht.
- Um welche Art von Flüssigkeit handelt es sich? Da die Steigung der Geraden unabhängig von der Konzentration gleich der von Wasser ist, handelt es sich mit hoher Wahrscheinlichkeit um Wasser.
- Bei welcher Feststoffkonzentration erfolgt der Übergang von der Verdampfung zur Vakuumtrocknung? Man sieht, wie der Dampfdruck mit zunehmender Konzentration der Suspension abnimmt. Die 12%ige Suspension verdampft bereits bei 70°C, wenn der Systemdruck 295 mbar beträgt. Während der Verdampfung muss der Druck auf 144 mbar gesenkt werden. Die Eindampfung endet etwa bei 80 bis 85 Masse-% Feststoffgehalt. Danach beginnt die Trocknung der nassen Feststoffdispersion.
Im vorliegenden Fall ist die aufzubringende Verdampfungsenergie leicht zu bestimmen. Die zuzuführende Wärmemenge ist ähnlich der Verdampfungswärme von Wasser bei 70°C. Also etwa 2333 kJ/kg. Dabei wird zunächst ignoriert, dass es Wärmeverluste durch Abstrahlung gibt.
Eindampfung, Eindickung, Vakuum-Mischtrocknung mit hohem Wirkungsgrad
Sowohl Chargenverdampfer als auch Vakuum-Mischtrockner haben dann gute Wirkungsgrade, wenn sie mit hohen Füllgraden betrieben werden. Im vorliegenden Fall wird der amixon® Mischtrockner während des Verdampfens immer wieder mit der Suspension befüllt sobald ein gewisser Füllgrad unterschritten wird. Das geschieht in vielen Schritten oder kontinuierlich. Die Feststoffkonzentration nimmt weiter zu. Es handelt sich also um einen kontinuierlichen Verdampfungsprozess. Er endet erst, wenn der maximale Füllgrad des Apparates erreicht ist. Die abschließende Feststofftrocknung erfolgt ebenfalls bei hohem Füllgrad.
So erfolgt das Eindampfen als auch die Trocknung komfortabel in einem kompakten Apparat. Der gleiche Apparat kann auch zur Kühlung des Trockenstoffs verwendet werden. Die Feststoffcharge wird anschließend abgefüllt; in Säcke, in Big-Bags oder in Schüttgutcontainer.
Die Auslegung der peripheren Anlagenkomponenten wie Brüdenfilter, Kondensator, Wärmeerzeuger und die Dimensionierung des Rührwerks/ Mischwerksantriebes werden in weiteren Blogbeiträgen zu einem späteren Zeitpunkt behandelt.

Werkstattfoto: Konischer amixon® Vakuum-Mischtrockner mit 30 m³ Nutzvolumen. Der Apparat wird zur Eindampfung, Eindickung und Vakuumtrocknung eingesetzt.
Pilotierung: Vom Labor zum technischen Maßstab
amixon® verfügt im Technikum über mehr als 30 Versuchsmaschinen. Viele davon sind exzellente Vakuum-Mischer/ Verdampfer/ Trockner. Wir laden Sie herzlich ein. Kommen Sie mit Ihren Produkten in unser Technikum. Zum
- Mischen,
- Eindampfen,
- Eindicken,
- Vakuumtrocknen,
- Benetzen,
- Agglomerieren,
- Desagglomerieren,
- Coaten,
- Trocknen,
- Kalzinieren oder zur
- Durchführung von Wirkstoffsynthesen.
© Copyright by amixon GmbH












