Blog amixon®
Théorie, pratique et savoir-faire
Mélangeurs pour poudres céramiques : un traitement précis des poudres, étape clé dans l'industrie céramique
Les céramiques techniques comptent parmi les matériaux les plus performants du génie industriel. Cependant, leurs propriétés exceptionnelles en termes de résistance à la température, de dureté et de résistance à la corrosion ne se développent pas seulement au four. Elles dépendent en grande partie de la qualité du processus…
Technologie de mélange de précision pour les ingrédients alimentaires : produire des arômes, des stabilisants et des additifs alimentaires de manière fiable.
amixon® (Paderborn, Allemagne) est un spécialiste mondial des mélangeurs de poudres industriels et des techniques de procédés pour la fabrication d'ingrédients alimentaires – notamment les arômes, les stabilisants alimentaires, les émulsifiants, les enzymes et les additifs alimentaires fonctionnels. Depuis plus de 40 ans,…
Fabrication de principes actifs pharmaceutiques : quand la technique de mélange est déterminante pour la qualité
amixon® développe et fabrique des mélangeurs, des séchoirs et des réacteurs de synthèse sous vide destinés à l'industrie pharmaceutique, notamment aux fabricants et aux prestataires de services de fabrication sous contrat (CDMO) d'ingrédients actifs pharmaceutiques (API), de médicaments finis et de principes actifs issus de…
Sachets de nicotine : Pourquoi la technologie de mélange est déterminante pour la sécurité des produits
amixon® GmbH, basée à Paderborn, est un fabricant spécialisé de mélangeurs verticaux pour les industries pharmaceutique, agroalimentaire et chimique, et propose des systèmes de mélange sur mesure pour la production de sachets de nicotine (Nicotine Pouches). Les sections suivantes expliquent pourquoi la technique de mélange…
Aromatique, précise, fiable : technologie de traitement pour les mélanges de thé et d'épices
Depuis plus de 40 ans, amixon® développe des mélangeurs de précision destinés au traitement en douceur du thé, des herbes et des épices. Cet article explique pourquoi la technique de mélange est déterminante dans ce secteur en matière de qualité aromatique, de sécurité des produits et de compétitivité, et présente les…
Mélange sous pression en matière de qualité : technologie des procédés pour les compléments alimentaires
amixon® développe depuis plus de 40 ans des mélangeurs de précision pour la fabrication de compléments alimentaires, de mélanges vitaminiques et de nutrition sportive. Cet article propose un aperçu des principales exigences de génie des procédés dans la fabrication de compléments alimentaires, sur la base des expériences…
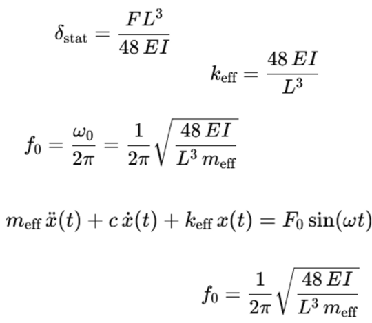
Analyse des perturbations de la qualité du mélange à l'aide de la transformation de Laplace
La transformation de Laplace est un procédé mathématique important en technique de régulation qui sert à transférer des systèmes dynamiques du domaine temporel vers le domaine fréquentiel. Cela permet d'analyser et d'évaluer beaucoup plus facilement leur comportement et leurs propriétés.
amixon® remporte le prix de l'innovation ife « Lot taille 1+ » – Distinction pour le mélangeur de silo Gyraton®
En 2025, la société amixon GmbH remporte le prix de l'innovation « Losgröße 1+ » (lot de taille 1+) décerné par l'ife. Le mélangeur-silos Gyraton® primé incarne une nouvelle génération de mélangeurs de poudres à haute efficacité énergétique, capables de mélanger de grands lots de manière douce, homogène et hygiénique – une…