
Difusión y su coeficiente
El coeficiente de difusión describe cuantitativamente la velocidad a la que las moléculas, los átomos o los iones se transportan en un medio mediante difusión. Solo se puede calcular de forma aproximada.
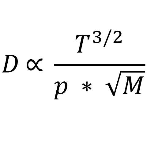
- D: coeficiente de difusión (m²/s)
- T: temperatura absoluta (K)
- p: presión (Pa)
- M: masa molar de la sustancia que se difunde (kg/mol)
Esta ecuación muestra que las temperaturas más altas aceleran la difusión, mientras que las presiones más altas la ralentizan.
.
En lenguaje coloquial también se denomina constante de difusión y, en la práctica, se utiliza a menudo como sinónimo. En sistemas sólidos heterogéneos, como los que se encuentran en las mezclas de polvos, el coeficiente de difusión efectivo puede verse influido por la estructura macroscópica, la porosidad y el contenido de humedad.
La difusión es impulsada por diferencias de concentración. Las moléculas, los átomos y los ionen migran de la concentración más alta a la más baja. Cuanto más alta es la temperatura, más rápido ocurre esto en el espacio gaseoso.
La difusión atómica desempeña un papel importante, por ejemplo, en la metalurgia de polvos y en la ingeniería cerámica. Cuando se comprimen y sinterizan a alta presión micropartículas de diferentes tipos.
Los mezcladores amixon pueden homogeneizar de forma ideal y precisa este tipo de sistemas de materiales metálicos y nanocerámicos.